CSI-DSP  Version 1.0.0
CSI DSP Software Library
函数
高精度Q31直接I型IIR滤波器

函数

void csky_biquad_cas_df1_32x64_init_q31 (csky_biquad_cas_df1_32x64_ins_q31 *S, uint8_t numStages, q31_t *pCoeffs, q63_t *pState, uint8_t postShift)
 
void csky_biquad_cas_df1_32x64_q31 (const csky_biquad_cas_df1_32x64_ins_q31 *S, q31_t *pSrc, q31_t *pDst, uint32_t blockSize)
 

简要说明

这个函数为Q31数据类型实现了一个高精度二阶级联滤波器。 滤波器的系数系数是1.31格式,状态变量是1.63格式。 双精度状态变量减少滤波器中的量化噪声,并提供了更清晰的输出。 这些滤波器函数在实现奇点接近单位圆的滤波器时很有用。 常见于截至频率很低的低通或者高通滤波器。

函数以块为单位操作输入输出数据, 每次调用函数处理 blockSize 个样本. pSrcpDst 指向输入和输出数组,包含 blockSize 个Q31数.

算法
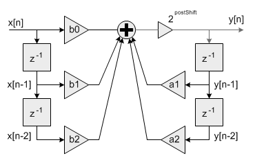
每个二阶阶段使用差分方程实现二阶滤波:
    y[n] = b0 * x[n] + b1 * x[n-1] + b2 * x[n-2] + a1 * y[n-1] + a2 * y[n-2]
一个直接I型算法的每个阶段使用5个系数和4个状态变量。
Biquad.gif
单个二阶滤波器阶段
系数 b0, b1, 和 b2 与输入信号 x[n] 相乘,并且被称为前馈系数。 系数 a1a2 与输出信号 y[n] 相乘,并且被称为反馈系数。

需要注意反馈系数的符号。 有些设计工具使用差分方程:

    y[n] = b0 * x[n] + b1 * x[n-1] + b2 * x[n-2] - a1 * y[n-1] - a2 * y[n-2]

这种情况下,反馈系数a1a2 在使用CSI DSP库的时候,必须取反。

高阶滤波器通过级联的二阶单元实现。 numStages 指定使用了多少二阶阶段。 比如,第8阶滤波器是numStages=4 的二阶阶段。
BiquadCascade.gif
使用二阶级联的8阶滤波器
第9阶滤波器可以看做numStages=5 的二阶阶段,系数配置为第一阶(b2=0a2=0).
pState 指向状态变量数组. 每个二阶阶段有4个状态变量x[n-1], x[n-2], y[n-1],y[n-2] ,并且为了提高精度,每个状态变量都是1.63格式. 状态变量在数组中的排列:
    {x[n-1], x[n-2], y[n-1], y[n-2]}
阶段1使用最开始的4个状态变量,阶段2使用接下来的4个状态变量,依次类推。 状态变量数组总共有4*numStages 个1.63格式的值。 每个块数据处理会更新状态变量,不会更新系数。
结构体实例
滤波器的系数和状态变量都保存在数据结构中。 每个滤波器都必须有一个单独的结构体实例。 系数数组可能可以在几个实例共享,但是变量数组不能共享。
初始化函数
初始化函数处理以下操作:
  • 设置数据结构字段的值.
  • 清零状态buffer的值. 不使用初始化函数,手动处理这些操作,需要设置结构体实例内的以下字段: numStages, pCoeffs, postShift, pState. 将pState的所有值置0。
是否使用初始化函数是可选的. 但是,如果使用初始化函数,则结构体实例不能被放在常量数据段。 想要将结构体实例放在常量数据段,则必须手动的初始化结构体实例。 在静态初始化之前,先把状态buffer中的值置0。 比如,静态的初始化滤波器结构实例使用:
    csky_biquad_cas_df1_32x64_ins_q31 S1 = {numStages, pState, pCoeffs, postShift};
其中 numStages 是滤波器中二阶阶段的数量; pState 是状态buffer的地址; pCoeffs 是系数buffer的地址; postShift 是移位数。
定点行为
使用32x64的二阶级联滤波函数需要多加注意。 需要考虑以下问题:
  • 系数的缩放
  • 滤波的增益
  • 溢出和饱和
滤波器系数表示为小数值,并且系数限制在[-1 +1) 范围之间. 处理函数有一个额外的缩放参数 postShift 用于给滤波器系数放大到超过[+1 -1) . 滤波器的累加器的输出是一个移位寄存器,结果移动postShift 位.
BiquadPostshift.gif
定点二阶累加后带移位
这本质上将滤波器的系数缩放了 2^postShift. 比如,为了表示系数
   {1.5, -0.8, 1.2, 1.6, -0.9}
可以设置pCoeffs数组为:
   {0.75, -0.4, 0.6, 0.8, -0.45}
并且设置postShift=1
第二个要注意的事情是滤波器的增益. 二阶滤波器的频率响应是它函数的一个系数。 通过滤波器的增益可能超过1.0,这意味着滤波器增加了某些频率的幅度。 这意味着幅度小于1.0的输入信号可能导致输出大于 1.0,因此基于滤波器的实现,这些信号可能会饱和或溢出。 为了避免这种行为,滤波器需要按比例缩小,使得其峰值增益小于1.0,或输入信号必须按比例缩小,以便输入和滤波器的组合不会溢出。
第三个要考虑的实数定点Q31的溢出和饱和。 这些描述在具体函数的文档当中.

函数说明

void csky_biquad_cas_df1_32x64_init_q31 ( csky_biquad_cas_df1_32x64_ins_q31 S,
uint8_t  numStages,
q31_t pCoeffs,
q63_t pState,
uint8_t  postShift 
)
参数
[in,out]*S指向一个高精度Q31二阶级联滤波器结构体实例
[in]numStages滤波器中二阶阶段的数量
[in]*pCoeffs指向滤波器的系数
[in]*pState指向状态buffer
[in]postShift累加后的移位,根据系数格式变化
返回
none

系数和状态顺序:

系数按以下顺序保存在数组pCoeffs :
    {b10, b11, b12, a11, a12, b20, b21, b22, a21, a22, ...}
其中 b1xa1x 是第一个阶段的系数, b2xa2x 是第二个阶段的系数,依次类推。 pCoeffs 数组总共有5*numStages个数值.
pState 是指向状态数组的指针,每个状态变量都是1.63的格式. 每个二阶阶段有4个状态变量 x[n-1], x[n-2], y[n-1],y[n-2]. 状态变量排列在数组的顺序如下:
    {x[n-1], x[n-2], y[n-1], y[n-2]}
最前面是第一阶段的4个状态变量, 然后是第二阶段的4个状态变量,依次类推。 状态数组总共有4*numStages 个数值. 状态变量在数据块处理之后更新,系数不会更新。
示例:
csky_graphic_equalizer_example_q31.c.
void csky_biquad_cas_df1_32x64_q31 ( const csky_biquad_cas_df1_32x64_ins_q31 S,
q31_t pSrc,
q31_t pDst,
uint32_t  blockSize 
)
参数
[in]*S指向高精度Q31二阶级联滤波器实例
[in]*pSrc指向输入数据块
[out]*pDst指向输出数据块
[in]blockSize处理的样本数量
返回
none.
函数实现使用了一个内部64位累加器。 累加器的用的是2.62格式,维持了中间乘法结果全精度,但是只有1个保护位。 因此,如果累加器结果溢出,会往符号位覆盖,而不是截断。 为了防止溢出,输入信号必须先缩小两个位,到[-0.25 +0.25)范围. 5个相乘结果相加后,2.62累加器移动postShift位,并且结果通过丢弃低32位,截断为1.31格式。
CSI DSP库提供两个相关的函数。 csky_biquad_cascade_df1_q31() 用32位的系数和状态变量,以及Q63累加器实现二阶级联。 csky_biquad_cascade_df1_fast_q31() 用32位的系数和状态变量,以及Q31累加器实现二阶级联。
示例:
csky_graphic_equalizer_example_q31.c.